Сұрақ: Һижри жылды қалай есептейміз?
Жауап: Һижри жыл басы 622 милади жылынан бастау алады. Һижри ай күнтізбесі негізінде қалыптасқан.
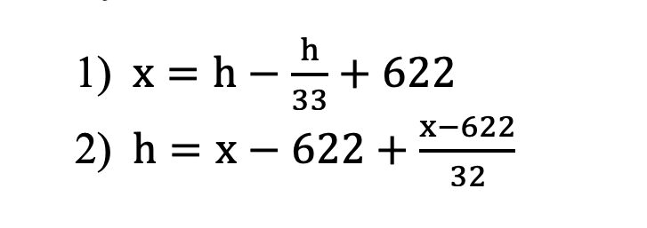
Һижри күнтізбесінде бір жылда 354 немесе 355 күн болады. Григориан (милади) жыл күнтізбесінде 365 күн бар. Һижри жылы, григориан жылынан 10 немесе 11 күнге қысқа.
Мұсылман ай күнтізбесіндегі датаны күн күнтізбесіне немесе керісінше өзгертіп есептеудің екі түрлі формуласы бар. 33 һижри жыл 32 григориан жылы болады. Х-христиандық жыл санау. Һ – һижри, яғни мұсылман жыл санауы.

Икрам АЙТАЕВ











